第二个模型的部分代码
# 每天的航班数量
daily <- flights %>%
mutate(date = make_date(year, month, day)) %>%
group_by(date) %>%
summarize(n = n())
#> `summarise()` ungrouping output (override with `.groups` argument)
daily
#> # A tibble: 365 x 2
#> date n
#> <date> <int>
#> 1 2013-01-01 842
#> 2 2013-01-02 943
#> 3 2013-01-03 914
#> 4 2013-01-04 915
#> 5 2013-01-05 720
#> 6 2013-01-06 832
#> # ... with 359 more rows
ggplot(daily, aes(date, n)) +
geom_line()

daily <- daily %>%
mutate(wday = wday(date, label = TRUE)) # 添加星期变量
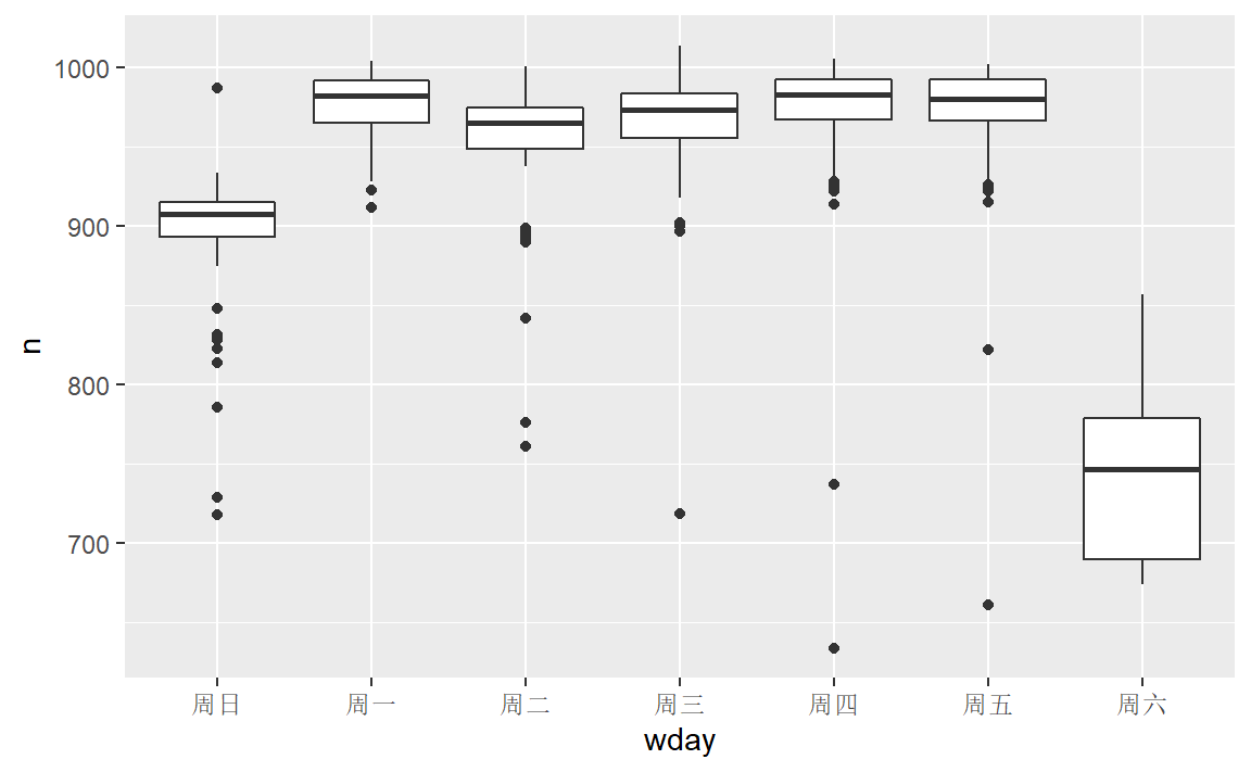
# 绘制星期与航班数量的箱线图
ggplot(daily, aes(wday, n)) +
geom_boxplot()

mod <- lm(n ~ wday, data = daily) # 拟合模型
grid <- daily %>%
data_grid(wday) %>%
add_predictions(mod, "n") # 添加预测值
ggplot(daily, aes(wday, n)) +
geom_boxplot() +
geom_point(data = grid, color = "red", size = 4) # 将预测值放在上图中

daily <- daily %>%
add_residuals(mod) # 添加残差
daily %>%
ggplot(aes(date, resid)) +
geom_ref_line(h = 0) +
geom_line()

ggplot(daily, aes(date, resid, color = wday)) +
geom_ref_line(h = 0) +
geom_line()

daily %>%
filter(wday == "周六") %>%
ggplot(aes(date, n)) +
geom_point() +
geom_line() +
scale_x_date(
NULL,
date_breaks = "1 month",
date_labels = "%b"
)

term <- function(date) {
cut(date,
breaks = ymd(20130101, 20130605, 20130825, 20140101),
labels = c("spring", "summer", "fall")
) # cut将日期转为因子
}
daily <- daily %>%
mutate(term = term(date)) # 划分日期为季节
daily %>%
filter(wday == "周六") %>%
ggplot(aes(date, n, color = term)) +
geom_point(alpha = 1/3) +
geom_line() +
scale_x_date(
NULL,
date_breaks = "1 month",
date_labels = "%b"
) # 设置x轴的时间标签

daily %>%
ggplot(aes(wday, n, color = term)) +
geom_boxplot()

mod1 <- lm(n ~ wday, data = daily)
mod2 <- lm(n ~ wday * term, data = daily)
daily %>%
gather_residuals(without_term = mod1, with_term = mod2) %>%
ggplot(aes(date, resid, color = model)) +
geom_line(alpha = 0.75)

grid <- daily %>%
data_grid(wday, term) %>%
add_predictions(mod2, "n")
ggplot(daily, aes(wday, n)) +
geom_boxplot() +
geom_point(data = grid, color = "red") +
facet_wrap(~ term)

# 尝试稳壮的线性回归
mod3 <- MASS::rlm(n ~ wday * term, data = daily)
daily %>%
add_residuals(mod3, "resid") %>%
ggplot(aes(date, resid)) +
geom_hline(yintercept = 0, size = 2, color = "white") +
geom_line()
